pesquise na USINA
Generic filters

USINA impressa

Conversa
elisa tomou o choque
paulo se enforcou no prego
eu permaneci na minha nem tudo se resolve
não quero te dar a dica
é claro que me comove
estilhaçar­-se todos os dias
Pulmões, Lucas Lugarinho
o principal erro ao tratar de Serras da Desordem é focar na dicotomia documentário-ficção é uma tentativa vã tentar classificar uma obra, mesmo que por sua pluralidade de pretensas definições, quando para além desse amálgama existe uma unidade, merecedora de se chamar apenas: cinema
Ilustração Pedro Fortes - Do Interior de Daniil Kharms (2019)
Sossegou. E não está respirando. Significa que já morreu. Morreu sem encontrar sobre a Terra respostas para suas perguntas. Mas nós, os médicos, devemos investigar profundamente o fenômeno da morte.
Notas sobre o Neobarroco e a Monadologia
Da arte da Contra-Reforma à arte da Contra-Conquista Da clausura à obra aberta para diferença : captura Existir é diferir, no coração das coisas há diversidade “Cada porção da matéria pode ser concebida como um jardim cheio de plantas e como um lago cheio de peixes Mas cada ramo da planta, cada membro do Animal, […]
Corpo que se molda
Corpo que se molda. Esses encontros de olhares em que mal se fala as vezes são os que mais valem a pena
“Eu não sei nadar…”: Riobaldo e a práxis da existência
O título escolhido para este ensaio, “eu não sei nadar”, é uma frase proferida pelo narrador-personagem – Riobaldo – da obra-prima de Guimarães Rosa, Grande Sertão: Veredas. Obra-prima? O que é uma obra-prima? Obra alude a trabalho, produção de um artista, cientista, artesão, etc Por exemplo, quando chamamos um pedreiro para consertar algo em uma […]
Por uma Revista de Invenção
O que é uma revista de invenção? No Brasil, o termo “invenção” nos remete invariavelmente para Pound e seu uso nas vanguardas tardias, como descoberta ou elucidação de um novo processo. Mas é possível expandir esse conceito, no presente caso, para uma revista que não trabalhe apenas com a reprodução de originais externos, restringindo-se a […]
Uma volta ao mal, ensaiando
I Há uma passagem terrível em 2666 de Roberto Bolaño. Quem conhece o livro, sabe que boa parte do que ali está talvez ache em “terrível” sua melhor e mais concisa descrição. Me refiro, entretanto, aos chistes dos policiais, ao café da manhã, alguns dos quais participavam ativamente das investigações sobre as mulheres mortas em […]
A Queda para o Alto
No alto do Morro de Santo Antônio, contraponto do Edifício Central no Largo da Carioca, está a Igreja da Ordem Terceira de São Francisco da Penitência, local de meditação silenciosa em meio ao som mal distinto do centro do Rio de Janeiro. No altar, uma das figuras mais alucinantes do barroco colonial brasileiro, uma rara […]
Viola Arsênica
Há na violeta um áspero pendor
de pedra. Mas o mármore da cor não
se arremessa como uma pedra;
é uma dureza de sonho.
Zohra Opoku - Ficus Carica (2015)
Numa segunda-feira de céu aberto e calor baiano das quentes tardes dezembrinas adentrei a Feira de São Joaquim, através dos passos largos de Èsù, a esfera da vida rueira que cheira mar conduziu minhas mestiças pernas por entre os labirintos coloridos daquela imensidão ancestral. Grapiúna que sou, me dei conta da magnitude africana no esbarrar […]
Lygia Clark - Caminhando (1964)
“O influxo externo é que determina a direção do movimento” Machado de Assis A frase de Machado de Assis que serve como epígrafe deste ensaio continua assim: “não há por ora no nosso ambiente a força necessária à invenção de doutrinas novas”. Estamos em 1877, ano em que Sousândrade escrevia e publicava em Nova York […]
Mezzanine
Erguido
o último suspiro
aos anjos da colheita
que por aqui passam
quando querem catar
acerolas
Cinema, a arte do espaço
Os limites da tela de cinema não são, como o vocabulário técnico daria por vezes a entender, a moldura da imagem, mas a máscara que só pode desmascarar uma parte da realidade.
Ilustração (2019), Bendita Gambiarra
O sertão de João Guimarães Rosa é um mundo que só existe como linguagem. Escrito em língua estranha, costuma assombrar leitores, que se queixam por não compreendê-lo de todo ou apenas de forma presumida e bastante duvidosa. Uma dificuldade que afugenta incautos e desconcerta até mesmo o mais miguilim de seus leitores, o tradutor, que […]
para pamella
o poema estica as mãos pro alto pra alcançar as frutas no pé como quando eu tinha dez e minha irmã oito
Rio Gótico Tropical
A cidade larvar continua funcionando segundo uma outra inteligência do espaço que revela uma cultura oral anterior e mais forte do que a solidariedade da banalidade. Não trata-se de analfabetismo, mas de pensamento empírico que se reflete nas formas de caminhar pelas quebradas da cidade.
glitch art de Jabal Murbach
“Para construir, modificar e transformar a cidade, a multidão anônima é frequentemente um protagonista tão importante quanto os grandes autores”.(SECCHI, Primeira Lição de Urbanismo, 2006) 1. “Vinheta quebrante”1 Um financiamento coletivo para construção de uma piscina flutuante em um rio, um rodízio de moradores para trocas de baterias de sirenes de alerta de tsunamis, uma […]
Upurandú resewara: entrevista com Denilson Baniwa
Enfim, é esse o nosso desafio, pegar essas coisas que são orais e transformar numa imagem que as pessoas consigam identificar como aquilo é de verdade pra gente. Porque pra gente, todas as histórias e as coisas não são mitos, elas não são contos, histórias, pensamentos inventados. Aconteceu de verdade pra gente. Quando fala que as coisas têm espíritos e vivem, elas têm espíritos e elas vivem! Elas estão entre a gente.
epígrafe
quem de ferro fere o fogo quem de quase fura o corpo qual carícia em tempo firme qual malícia escapa à sorte
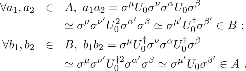
Antimatéria: O Universo sem Espelho

A ideia de antimatéria fascinou e continua fascinando os aficcionados por ficção científica desde o surgimento desse conceito, que ocorreu em meados da década de 1930, logo depois da descoberta experimental do pósitron, a antipartícula do elétron.

A autogestão de uma oficina
Como funciona autogestão? Dá para produzir sem ninguém mandando? Ou vira tudo uma bagunça, um jogo de empurra, uma terra de ninguém? Na Escola de Desenho Industrial da UERJ, a Esdi, já faz um ano que estamos experimentando com autogestão. Em meio a uma grande mobilização contra o desmonte da universidade pública, em 2016 assumiu […]
Foto de Prisca Agustoni
"Esse dilema do processo de criação é uma outra maneira de ressaltarmos a tensão 'enraizerrante', que confere à experiência poética a possibilidade de dizer-nos que aquilo que nos fixa no tempo e no espaço, na vida pessoal e coletiva só o faz porque se move e se transfigura continuamente."
hoje Deus me falou
hoje Deus me falou: a barragem rompeu! estamos passando por um momento de transformação não é nada pessoal o ano tá foda pra todo mundo ...
Um manifesto, nem isso
Hoje é o aniversário da execução de García Lorca e se alguma coisa mudou desde então, foi pra pior eu estou na Central do Brasil esperando que alguém me ligue com uma notícia boa ...
conceição
eu apago a luz do jardim e fecho as persianas a lagoa lá longe com suas colunas de luz e a moldura das árvores que sucessivas gerações ...
Entre xamãs e artistas: entrevista com Els Lagrou
"Figuras como Max Ernst, e eu acho que muitos surrealistas, por mais que pouquíssimos tenham realmente, como Artaud, convivido ou conhecido sociedades ameríndias de perto, todos eles procuram perceber o artista como xamã no sentido que o artista e o xamã são aqueles que conseguem ensinar a ver aquilo que normalmente não é visível, ensinam a ver diferentemente."
Hoje à tarde fez sol mas é noite e chove
Meditamos sobre a morte e permanecemos atentos ao uivo da noite. Todos os dias acordamos e, como se olhássemos o mundo, abrimos a janela do quarto, a cortina da sala. Do outro lado os prédios, as ruas, os cabos telefônicos. Do outro lado as praças, as praias, os carros...
Os Rumos da História in A Minor op. 9 no 1
Churchill faz pizza de mussarela e distribui aos ratos de nova iorque. Aristoteles corta os pulsos, não quer mais viver. Levi-Strauss enlouqueceu, mas não deixa de tomar café na quinta avenida às 3 p.m em ponto. ...
4 Poemas
– quer dizer, então, que os insetos não sentem afeto? – você poderia pisá-lo agorinha mesmo esmagar com a sola do seu sapato aquela formiga ou aquele percevejo – e eles, ainda assim, não sentiriam nada?
Quatro Parábolas Fantásticas
Ele amanheceu parado aqui mesmo. Na noite anterior tinha entrado no escuro. Demorou para voltar. Quando voltou – foi amanhecido – disse que noite anterior tinha sido perdida...
Entrevista com Joana Cesar
"Em 1992 finalmente comecei a pintar na rua. Meu interesse não passava pelo grafite, mas pelas texturas que eu encontrava nos muros – as paredes descascadas, as cascas de tinta soltando, os muros de musgo, o verde das heras avançando na vertical, os tapumes mofados, úmidos, com camadas de cartazes descolando; e os postes sujos, com suas marcas velhas de cartazes antigos – parecia a minha pele ali."
Epigramas
Pablo Cruz Villalba é um poeta mexicano. Nascido na Cidade do México, Epigramas (2014), é seu primeiro livro. Dele foram extraídos os poemas traduzidos abaixo.
poeta

poeta, você de boca torta mas nem tão torta assim de pele lisa mas nem tão lisa assim de pelo escuro mas nem tão escuro assim você que não pode sentir o calor das cadenas – quem te prefere? (...)

sobre tudo que dizem por aí

o século XXI
de epifanias plásticas, soluções rápidas e ligações gratuitas
o século vi-te em um
rentável, sustentável, (politicamente insuportável), insolúvel (...)

Sobre a arte sem nome
É este visível qualquer, essa conjunção de olhares citadinos que falta à arte. A criança não conhece arte e, no entanto, sua relação com o mundo está imersa na artisticidade. Tudo é plástico na despretensiosidade.